您現在的位置:中國農業儀器網 > 技術文章 > 使用面筋指數儀測試小麥面筋指數的基因型及環境差異
使用面筋指數儀測試小麥面筋指數的基因型及環境差異
小麥面筋指數的基因型及環境差異
1、面筋指數的基因型和環境差異及顯著性分析。從表2可知,面筋指數基因型間存在差異。從面筋指數儀的測試結果來看,不同品種冬小麥面筋指數以PH1521最高,是面筋指數最低的PH988-2的1.49倍。其中優麥2號和濟麥20無顯著差異;其他品種間均達顯著或極顯著差異。從表2還可以看出,多數品種地點間變異不大,說明在不同環境條件下基因型表現較為穩定。其中PH988-2的變異系數最大,是煙優361的4.47倍。表明在不同環境條件下PH988-2面筋指數存在很大差異,變異范圍廣,選擇潛力大,通過育種途徑改善其筋力是可能的。

從表3可知,滕州點面筋指數最大,與其他5個地點均有顯著差異;泰安點面筋指數最小,與其他各點亦達顯著差異。其中德州與濟寧、博興與濟寧無顯著差異,其他各點間均有顯著或極顯著差異。從表3還可以看出,環境間變異系數差別較小,說明面筋指數對環境不敏感,品種的穩定性較大。同一地點的不同品種相比較,其面筋指數的變異系數都較大,但各種植地域間的變異差別不大,說明環境因素的影響較小,基因型是影響面筋指數的主要因素。

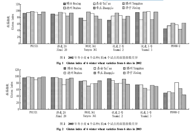
2、小麥面筋指數的年際間差異比較。由圖1可知,2002年大多數品種(系)在滕州(91.08)、德州(87.56)、濟寧(85.26)點的面筋指數比其他點高,以章丘點(75.63)最低。PH1521和濟麥20的環境間面筋指數差異不顯著,基因型穩定性強,是優良品種,其他品種環境間差異性較大。6個品種(系)平均面筋指數以PH1521最高,PH988-2最低。表明不同種植區域、不同品種(系)的面筋指數有顯著差異,且其基因型效應更為顯著。因此,為提高面筋指數不僅應選拔品質好,且穩定性高的品種(系),如PH1521,同時還應選擇利于面筋指數增長的特定栽培地區,如滕州、德州,從而實現優質生產。

圖2為2003年小麥品種在不同試點的面筋指數情況,可以看出,與2002年相比有較大變化。大多數品種(系)在博興(82.61)、章丘(82.35)點的面筋指數比其他點高,而以滕州(75.54)點為最低。而6個品種(系)平均面筋指數與2002年相似,仍以PH1521最高,PH988-2最低。且PH1521基因型穩定性強,是優良品種。由2002、2003年的試驗結果可以看出,年際間各品種的面筋指數變化較小,有一定的穩定性;而在不同的環境下,面筋指數有較大差異。
- 【中國農業儀器網】聲明部分文章轉載自其它媒體,轉載目的在于傳遞更多信息,并不代表本網贊同其觀點和對其真實性負責,且不承擔此類作品侵權行為的直接責任及連帶責任。如涉及作品內容、版權和其它問題,請在30日內與本網聯系。









